2.1 Οριοθέτηση της λεκάνης
Για την οριοθέτηση της λεκάνης απορροής χρησιμοποιήσαμε τοπογραφικό υπόβαθρο με ισοδιάσταση 20 m. Η λήψη του έγινε από τον Sentinel EO Browser και στη συνέχεια τοποθετήθηκε ως νέο «επίπεδο» (layer) σε υπόβαθρο Google Earth Pro. Όλες οι μετρήσεις που θα παραθέσουμε στα επόμενα έγιναν ψηφιακά στο «επίπεδο» πού δημιουργήσαμε. Η εφαρμογή Google Earth Pro διατίθεται εντελώς ελεύθερα και δεν απαιτεί ούτε εγγραφή ούτε συνδρομή (μειονεκτήματα του Sentinel EO Browser). Είναι εύκολη στην εκμάθησή της και έχει πολλές από τις δυνατότητες που παρέχουν διάφορα λογισμικά ψηφιακής χαρτογραφίας (τουλάχιστον στο πλαίσιο των απαιτήσεων της μελέτης μας).

Ο τοπογραφικός χάρτης προσαρμοσμένος σε υπόβαθρο Google Earth.

3Δ προβολή της λεκάνης απορροής του χειμάρρου «Ρέμα Γκρανίτσα». Θέαση από ΑΝΑ/κα

2.2 Γεωλογία της λεκάνης απορροής
Για τη διερεύνηση της γεωλογικής σύστασης και δομής της λεκάνης χρησιμοποιήσαμε απόσπασμα από τον «ΓΕΩΛΟΓΙΚΟ ΧΑΡΤΗ ΤΗΣ ΕΛΛΑΔΟΣ 1:50.000, ΦΥΛΛΟ ΖΑΓΟΡΑ-ΣΥΚΗ», Ι.Γ.Μ.Ε., 1987.
Με τη βοήθεια των ισοϋψών του γεωλογικού χάρτη προσαρμόσαμε με μεγάλη ακρίβεια το απόσπασμα επάνω στο (ως ανωτέρω) τοπογραφικό «επίπεδο» και δημιουργήσαμε νέο «επίπεδο» (Γεωλογικό) σε υπόβαθρο Google Earth Pro.
Βάση του παραπάνω χάρτη η στρωματογραφία των γεωλογικών σχηματισμών πάνω στους οποίους εξαπλώνεται η λεκάνη απορροής (εμφανίζονται επιφανειακά), είναι σχετικά απλή.



Πρόκειται για λεκάνη που εξαπλώνεται πάνω σε κρυσταλλοσχιστώδεις σχηματισμούς.
Η επιφανειακή εξάπλωση των μαρμαρυγιακών σχιστολίθων (sch-mi) είναι κυρίαρχη.
Η διάβρωση έφερε στην επιφάνεια κρυσταλλικούς ασβεστόλιθους (k.mr) που κανονικά απαντώνται ως ενστρώσεις μέσα στους μαρμαρυγιακούς σχιστόλιθους. Αυτοί κατέχουν το 23% της επιφάνειας της λεκάνης.
Τα βασικά και υπερβασικά πετρώματα (σ, θ) εκπροσωπούνται από μικρής έκτασης και διάσπαρτες εμφανίσεις.
Οι νεογενείς σχηματισμοί (μάργες – μαργαϊκοί ασβεστόλιθοι (Ng)) στο ΝΑ/κο τμήμα της λεκάνης και κοντά στη γραμμή του υδροκρίτη είναι πολύ μικρής έκτασης.
Οι ποτάμιες (αλλουβιακές) αποθέσεις (al) δεν έχουν μόνιμο χαρακτήρα.
Δεν πρέπει να διαφύγει της προσοχής μας μία πολύ μεγάλης έκτασης κατολισθαίνουσα περιοχή, η οποία προέκυψε (μεταξύ άλλων) μετά την υποσκαφή του ποδιού της από τον χείμαρρο (λόγω της εκτεταμένης μετακίνησής και της αναμόχλευσης του υλικού οι χαρτογράφοι την ενέταξαν στις Τεταρτογενείς αποθέσεις).
3Δ θέαση της κατολισθαίνουσας περιοχής


Από γεωτεκτονική άποψη η λεκάνη έχει διαμορφωθεί υπό την επίδραση δύο φάσεων κανονικών ρηγμάτων που είχαν ως τελική συνέπεια την ανύψωση του βόρειο τομέα της λεκάνης και τη βύθιση του ανατολικού τομέα από τη μία και του νότιου από την άλλη.
Έχουν αναγνωρισθεί τουλάχιστον δύο ενεργές ρηξιγενείς ζώνες.
Η μία διεύθυνσης Α15οΒ-Δ15οΝ και η άλλη Β35οΔ –Ν35οΑ (οι Γαλανάκης et al. (1998) την αποτυπώνουν με δ/νση Β25οΔ –Ν25οΑ και διακρίνουν μία επιπλέον παράλληλη αυτής και 600 m Δ/κα).
Η αποτύπωση εδώ έγινε σύμφωνα με την ΕΑΓΜΕ (Active Faults, Web Mapping Application)
ttps://gaia.igme.gr/portal/apps/webappviewer/index.html?id=f141b9da08f34107806d227cb0d6afe9



Από υδρογεωλογική άποψη οι ασβεστόλιθοι λόγω τεκτονικής καταπόνησης και της όποιας καρστικοποίησης αποτελούν τα κατ’ εξοχήν υδροφόρους σχηματισμούς της λεκάνης αλλά έχουν σχετικά περιορισμένη εξάπλωση.
Οι κρυσταλλικοί σχιστόλιθοι και τα βασικά και υπερβασικά σώματα αποτελούν τους κατ’ εξοχήν υδατοστεγείς σχηματισμούς με εξαίρεση τις ζώνες έντονης τεκτονικής καταπόνησης. Επίσης στις θέσεις όπου επάνω τους αναπτύσσεται σημαντικού πάχους μανδύας κερματισμού και αποσάθρωσης αυτός επιτρέπει την κατείσδυση αλλά μόνο ως το βάθος που απαντάται το «υγιές» μητρικό πέτρωμα. Έτσι μπορεί να δημιουργείται ένας πολύ επιφανειακός υδροφόρος ορίζοντας περιορισμένων δυνατοτήτων με τάση να εκφορτιστεί πλευρικά. Με αυτόν τον τρόπο έχουν δημιουργηθεί κάποιες διαλείπουσες πηγές επαφής τόσο στο μέσο του Β/κου τομέα της λεκάνης όσο και του Ν/κου.
Από τεχνικογεωλογική άποψη οι ίδιες ακριβώς συνθήκες ευνοούν ερπυσμούς του μανδύα και οδηγούν στην εκδήλωση κατολισθήσεων είτε λόγω διαβρωτικών διεργασιών είτε λόγω ανθρωπογενών παρεμβάσεων είτε λόγω σεισμών.
Οι γεωμηχανικοί δείκτες των μητρικών πετρωμάτων εμφανίζουν υψηλές τιμές (βλ. Ζιούρκας 1989, σελ. 67-69) με συνέπεια τη σημαντική τους αντίσταση στη διάβρωση.
Αυτό το γεγονός οδήγησε στη λειτουργία λατομείου εξόρυξης οικοδομικών λίθων και πλακών (Πέτρες και Πλάκες Πηλίου) και αδρανών υλικών.

2.3 Ποσοτική ανάλυση μορφολογικού αναγλύφου της λεκάνης
Εμβαδό Λεκάνης Απορροής Α = 12,8 Km2
Μήκος Περιμέτρου P = 17,33 Km
Από τις δύο παραμέτρους προκύπτει ο Δείκτης κυκλικότητας (C= 4πA/P2 , κατά Schumm, 1956) C = 0,54 (μέτρια προς χαμηλή)
Την ίδια ακριβώς τιμή λαμβάνει και ο δείκτης κυκλικότητας κατά Millier, 1953:
RC = A/AC όπου AC το εμβαδό κύκλο με περίμετρο ίση με αυτή της λεκάνης.
Μήκος λεκάνης (απόσταση του πιο απομακρυσμένου σημείου από το στόμιο της λεκάνης στην προέκταση του κύριου κλάδου του υδρογραφικού δικτύου) Lb = 6,45 Km
Το εμβαδό της λεκάνης αντιστοιχεί σε κύκλο διαμέτρου d = 4,04 Km
Επομένως έχουμε:
Λόγο Επιμηκύνσεως της Λεκάνης (Elongation Ratio) Re = d/Lb Re = 0,63 (σχετικά υψηλή)
Οι τιμές των δεικτών κυκλικότητας και Επιμηκύνσεως είναι αποτέλεσμα της τεκτονικής εξέλιξης της λεκάνης.

Μέγιστο υψόμετρο λεκάνης H= 694 m
Ελάχιστο υψόμετρο λεκάνης Ho= 0 m
Το «Μέγιστο Ανάγλυφο» της λεκάνης απορροής Hb (Maximum Basin Relief) ως η υψομετρική διαφορά μεταξύ στομίου λεκάνης Ho= 0 m και υψηλότερου σημείου της περιμέτρου αυτής H=694 m, που είναι ενδεικτικό του ενεργειακού δυναμικού του υδρογραφικού δικτύου (βλ. επόμενα).
Μέγιστο ανάγλυφο Hb= 694 m (Hb= H-Ho ) και μπορεί να χαρακτηριστεί ως σχετικά χαμηλό.
Τα αποτελέσματα των μετρήσεων των εμβαδών μεταξύ των κύριων ισοϋψών (ανά 100 m) παρουσιάζονται στον Πίνακα 1.

Από τις μετρήσεις προκύπτει:
Μέσο υψόμετρο λεκάνης Hm= 353 m
(όπου: Hm=Σ(αi X hi)/Α à Hm= 4514,0 Km2 x m/12,8 Km2)

Από το ιστόγραμμα κατανομής της σχετικής % συχνότητας των εμβαδών ανά βαθμίδα υψομέτρου προκύπτει:
Υψόμετρο μέγιστης συχνότητας Hfm = 350 m

Από την Υψογραφική Καμπύλη της λεκάνης απορροής (βάση των εμβαδών) προκύπτει:
Υψόμετρο 50% H50% = 300 m
Τα μήκη των κύριων ισοϋψών (ανά 100 m) παρατίθενται στον Πίνακα 2

Από το συνολικό μήκος των ισοϋψών L= 32,09 Km και το εμβαδό της λεκάνης Α= 12,8 Km2 υπολογίστηκε η Μέση Κλίση της λεκάνης απορροής με τη μέθοδο J.W. Alvord, η οποία υιοθετήθηκε και από τον R. Horton (1932;1945).
p = D·L/A
όπου:
p = Μέση Κλίση
D = ισοδιάσταση (D = 100 m → D = 0,1 Km)
p = 0,25 ή 25%
Ο «λόγος αναγλύφου» που θεωρείται ενδεικτικός της έντασης των διεργασιών διάβρωσης που λαμβάνουν χώρα στις πλαγιές της λεκάνης, εκτιμήθηκε με περισσότερους του ενός τρόπους. Τούτο διότι η λεκάνη απορροής παρουσιάζει την ιδιομορφία το μέγιστο υψόμετρο να μην απαντάται κοντά στο σημείο που η γραμμή προέκτασης του κύριου κλάδου του υδρογραφικού δικτύου τέμνει τον υδροκρίτη αλλά παράπλευρα προς τη γραμμή αυτή και περίπου στο μέσον της.
Λόγος Αναγλύφου κατά Schumm,1956 (Relief Ratio) Rh= Hb/Lb : Rh= 0,11
Το αποτέλεσμα δεν είναι αντιπροσωπευτικό της όλης λεκάνης κυρίως διότι δεν έχει φυσική υπόσταση λόγω της ιδιομορφίας που αναφέραμε.
Αν εκτιμήσουμε τον ίδιο δείκτη με βάση το «τοπικό ανάγλυφο» (hb= h–Ho όπου h= 400m το μέγιστο υψόμετρο κοντά στο σημείο τομής της προέκτασης του κύριου υδρογραφικού κλάδου με τον υδροκρίτη και Ho= 0m) έχουμε: Rh = 0,06
Η τιμή είναι πολύ χαμηλή και δεν είναι αντιπροσωπευτική της όλης λεκάνης επίσης, καθώς εξαιρεί (δεν λαμβάνει υπόψη) το 20% της επιφάνειας της λεκάνης.
Αν τώρα εκτιμήσουμε τον ίδιο δείκτη αντικαθιστώντας στη σχέση το Lb με την οριζόντια απόσταση του σημείου μεγίστου υψομέτρου από το αντίστοιχο ελαχίστου υψομέτρου lb= 3560m έχουμε: Rh= 0,19
Η τιμή αυτή είναι ίση με αντίστοιχη κατά Melton (1965) Melton R= Hb/√A : Melton R = 0,19
Οι παραπάνω τιμές είναι ενδεικτικές των σχετικά ασθενέστερων διαβρωτικών διεργασιών κατά μήκος των κύριων υδρογραφικών κλάδων στον δυτικό τομέα της λεκάνης (βλ. επόμενα) έναντι των αντίστοιχων διεργασιών στις πλαγιές της λεκάνης.

Οι δορυφορικές εικόνες μας παρέχουν μεταξύ άλλων και τη δυνατότητα μιας πρόχειρης εκτίμηση του «σταδίου» της διάβρωσης ενός τοπίου. Στην περίπτωσή μας αρκεί μια προσεκτική παρατήρηση του τοπίου σε 3Δ δορυφορική εικόνα και η σύγκριση με πρότυπα σχέδια του «Κύκλου Διάβρωσης» που απαντώνται στη βιβλιογραφία (π.χ. Keller-Pinter, 2002 pp.51).
Με σύγκριση διαπιστώνουμε πως η λεκάνη απορροής που ερευνούμε βρίσκεται μάλλον σε στάδιο «ωριμότητας».
Όμως μέχρις εκεί … τίποτα περισσότερο!

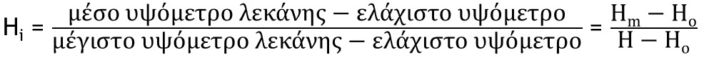
Μια πληρέστερη εικόνα των διαβρωτικών διεργασιών εντός της λεκάνης απορροής και την εκτίμηση του «σταδίου» εντός του «Κύκλου Διάβρωσης» στο οποίο εντάσσεται το τοπίο, μας παρέχει το Υψομετρικό Ολοκλήρωμα (Hypsometric Integral) (Hi).
Ένας γρήγορος τρόπος υπολογισμού είναι αυτός που δίδεται από τη σχέση :

(βλ. Keller-Pinter, 2002, pp.123)
Για τη λεκάνη μας έχουμε :

Με βάση την ταξινόμηση που διακρίνει στην περίοδο του «κύκλου διάβρωσης» τρία στάδια και εντάσσει σε κάποιο αυτά μια λεκάνη απορροής ήτοι :
(i) στάδιο γήρατος ή πλήρως σταθεροποιημένη λεκάνη απορροής (monadnock) (Hi<0,3)
(ii) στάδιο ωριμότητας ή ισορροπίας (0,3 ≤ Hi< 0,6)
(iii) στάδιο νεότητας ή ανισορροπίας (Hi≥0,6) (Strahler 1952) …
… η υπό έρευνα λεκάνη πλησιάζει στο μέσο ενός σταδίου ωριμότητας ή ισορροπίας.
Μια ισορροπίας μεταξύ των ανοδικών τεκτονικών τάσεων από τη μία και των διαβρωτικών από την άλλη.
Περισσότερες «πληροφορίες» μπορεί να μας δώσει η εκτίμηση του Hi με βάση τη μέθοδο του Strahler (1952; 1964) και το γράφημα που παράγεται.
Για το σκοπό αυτό δημιουργούνται ζεύγη τιμών (χ,ψ) που αντιστοιχούν σε κάθε μία από τις κύριες ισοϋψείς του χάρτη της λεκάνης.
Για κάθε ισοϋψή hi δημιουργούνται οι λόγοι χ=ai/A και ψ=hi/H, όπου ai είναι το εμβαδόν της επιφάνειας της λεκάνης που έχει υψόμετρα μεγαλύτερα της ισοϋψούς hi, A το συνολικό εμβαδό της λεκάνης και H το μέγιστο υψόμετρο.
Οι τιμές των λόγων προβάλλονται σε Ορθοκανονικό Σύστημα Αξόνων.
Το εμβαδό του γραφήματος κάτω από την καμπύλη που σχεδιάστηκε αποτελεί το Υψομετρικό Ολοκλήρωμα της λεκάνης.
Για τη λεκάνη μας και βάση των μετρήσεων του Πίνακα 1 δημιουργήσαμε νέο Πίνακα τιμών με τους λόγους χ=ai/A και ψ=hi/H για κάθε κύρια ισοϋψή hi και από αυτόν το αντίστοιχο γράφημα.

Με εμβαδομέτρηση προέκυψε Hi=0,51 τιμή κατά 0,08 μεγαλύτερη της τυπικής (Hi=0,43) που εκφράζει το μέσο του σταδίου ωριμότητας (Strahler, 1952; 1964).
Επομένως για την επίτευξη «ισορροπίας» αναμένεται να διαβρωθεί σημαντική επιφάνεια της λεκάνης απορροής.
Συγκρίνοντας το αποτέλεσμα με τις «χαρακτηριστικές καμπύλες διάβρωσης» κατά Strahler (1964) …

…παρατηρούμε πως η υψογραφική καμπύλη παρουσιάζει το χαρακτηριστικό σιγμοειδές σχήμα του «σταδίου ωριμότητας», παρουσιάζει όμως και ιδιαιτερότητες.
Αντί ενός σημείου καμπής (στο μέσο) παρουσιάζει δύο που αναλογούν στο υψόμετρο των 390m το ένα και των 320m το άλλο (βλ. παρακάτω σχήμα).
Το τμήμα μεταξύ αυτών των σημείων παρουσιάζει μικρή κλίση απόρροια της μεγάλης έκτασης μεταξύ των ισοϋψών 300-400m (60% της συνολικής έκτασης της λεκάνης).
Ας σημειωθεί πως αυτή η μεγάλη έκταση της λεκάνης έναντι των εκτάσεων μεταξύ των άλλων ισοϋψών έγινε αντιληπτή από τους μαθητές κατά το στάδιο των μετρήσεων και προκάλεσε σχόλια.

Επίσης παρατηρούμε πως το 35%(1) της λεκάνης (άνω των 380m) διαβρώθηκε περισσότερο του αναμενόμενου (για ένα «τυπικό» ώριμο στάδιο διάβρωσης) και το 65%(2) δεν έχει ακόμα διαβρωθεί επαρκώς.
Όλα τα παραπάνω μπορούν εξηγηθούν με βάση τη λιθολογία και τη γεωτεκτονική εξέλιξη της λεκάνης απορροής.
Επάνω σε μια «παλαιά» επιφάνεια διάβρωσης στην οποία υπήρχε ανθεκτικός στη διάβρωση λόφος (monadnock), δύο τεκτονικές φάσεις κανονικών ρηγμάτων είχαν ως αποτέλεσμα την ανύψωση του βόρειου τομέα της σημερινής λεκάνης και μαζί του ανθεκτικού στη διάβρωση λόφου. Το νέο σε κάθε φάση καθεστώς διάβρωσης εξομάλυνε τα μέτωπα των ρηγμάτων όχι όμως επαρκώς και τον λόφο.
Καθώς ο κύριοι κλάδοι του χειμάρρου αναπτύχθηκαν παράλληλα με τη μία από τις δύο κύριες ρηξιγενείς ζώνες, διαρρέουν έκταση με μικρή κλίση ενώ ο ανθεκτικός στη διάβρωση λόφος βρέθηκε παράπλευρα ως προς τον διαμήκη άξονα της λεκάνης απορροής.
Στο σημερινό καθεστώς ο χείμαρρος προσπαθεί να μεταφέρει το μέτωπο της διάβρωσης προς τα πίσω αλλά εμπόδια αποτελούν η ανθεκτικότητα του κρυσταλλοσχιστώδους υποβάθρου, η μικρή κλίση της λεκάνης (βλ. προηγούμενα) και η βλάστηση. Στην προσπάθειά του να διευρύνει την κοίτη του δημιουργεί μαιανδρισμούς, υποσκάπτει τα πρανή και το υλικό που απομακρύνεται αντικαθίσταται από υλικό κατολισθήσεων.
Με βάση την υψογραφική καμπύλη και τα σημεία καμπής μπορούμε να διακρίνουμε στη λεκάνη απορροής επιφάνειες διάβρωσης διαφορετικού τύπου και έντασης.

2.4 Το Υδρογραφικό δίκτυο του Ρέματος Γκρανίτσα.
Η μορφή του υδρογραφικού δικτύου κάθε λεκάνης είναι συνάρτηση της λιθολογικής σύστασης – η οποία έχει άμεση επίδραση στην περατότητα των πρανών – της γεωτεκτονικής εξέλιξης, του μορφολογικού αναγλύφου, του βροχομετρικού ύψους, της εποχικής κατανομής των βροχοπτώσεων και τέλος της σχέσης διάβρωσης-αποσάθρωσης, της τελευταίας εξαρτώμενης κατά το πλείστον από τους ανωτέρω αναφερθέντες παράγοντες (Καλλέργης, 1970).
Για τους παραπάνω λόγους θεωρήθηκε σκόπιμη η μελέτη του υδρογραφικού δικτύου του χειμάρρου «Ρέμα Γκρανίτσα».
Η χάραξη του δικτύου έγινε σε τοπογραφικό υπόβαθρο με ισοδιάσταση 10m ώστε να επιτευχθεί η καλύτερη δυνατή ακρίβεια και να μη παραβλεφθούν μικρού μήκους κλάδοι (ένα σφάλμα που κατά τον Strahler (1952, p.1136) διέπραξε ο Horton). Η λήψη του χάρτη έγινε από τον EO Browser και τοποθετήθηκε επάνω σε υπόβαθρο Google Earth όπως κάναμε και με τον χάρτη ισοδιάστασης 20m (βλ. προηγούμενα).
Για την ταξινόμηση των κλάδων του υδρογραφικού δικτύου ακολουθήσαμε τη μέθοδο Strahler.
Σύμφωνα με αυτή όλοι οι μικρότεροι κλάδοι – ρυάκια – οι οποίοι δεν διακλαδίζονται παραπέρα, ανήκουν στην 1η τάξη. Στο σημείο στο οποίο συμβάλλουν δύο κλάδοι 1ης τάξης αρχίζει ένας κλάδος 2ης τάξης. Στο σημείο που συμβάλλουν δύο κλάδοι 2ης τάξης αρχίζει ένας κλάδος 3ης τάξης κ.ο.κ.
Ταξινόμηση κλάδων κατά Strahher
Ο κορμός κατά συνέπεια ενός υδρογραφικού δικτύου, δηλαδή ο κύριος κλάδος, δια του οποίου διέρχεται ολόκληρη η ποσότητα νερού και ιζήματος που προέρχεται από την επιφανειακή απορροή, φέρει την μεγαλύτερη τάξη.

Παραθέτουμε το χάρτη του υδρογραφικού δικτύου του Ρέματος Γκρανίτσα ως αποτέλεσμα της έρευνάς μας.

Πρόκειται για δίκτυο 4ης τάξης.
Είναι μεικτού τύπου μεταξύ του παράλληλου και δενδροειδούς καθώς πλήθος κλάδων (ή τμήμα αυτών) είναι παράλληλοι είτε προς τη μία είτε προς την άλλη των δύο κύριων ρηξιγενών ζωνών.
Ο κύριος κλάδος (4ης τάξης) αναπτύσσεται εξ ολοκλήρου πάνω στη ρηξιγενή ζώνη διεύθυνσης Α15Β-Δ15Ν.
Αυτή η εναρμόνιση προς τις δύο κύριες ρηξιγενής ζώνες φανερώνει τη σημαντική επίδραση της γεωτεκτονικής εξέλιξης της λεκάνης απορροής στη διαμόρφωση του υδρογραφικού δικτύου.
Κατά τη χάραξη του υδρογραφικού δικτύου δημιουργήθηκε ψηφιακό αρχείο με τον αριθμό των κλάδων κάθε τάξης και το μήκος καθενός. Έτσι εύκολα μπορεί να ελεγχθεί σε τι βαθμό το υδρογραφικό δίκτυο ακολουθεί τον 1ο και 2ο Νόμο του Horton.
Έλεγχος ως προς τον 1ο Νόμο του Horton
(Νόμος του αριθμού των κλάδων)
Σύμφωνα με αυτόν: Ο λόγος του πλήθους (Ν) των κλάδων ορισμένης τάξης (u) προς το πλήθος των κλάδων της αμέσως επόμενης τάξης (u+1) αποτελεί τον συντελεστή διακλάδωσης (Rb).
Έτσι: Rb = Nu/Nu+1
Ο συντελεστής διακλάδωσης δεν είναι ακριβώς ίδιος από τη μία τάξη στην άλλη, αλλά τείνει να καταστεί σταθερός στο σύνολο των σειρών του δικτύου.
Ο αριθμός των κλάδων κάθε τάξης δίδεται από τη σχέση: Nu = Rbo–u όπου «o» η τάξη του κύριου κλάδου. Στην περίπτωσή μας ο=4
Τα αριθμητικά αποτελέσματα παρουσιάζονται στον Πίνακα που ακολουθεί.

Πρόκειται για ένα δίκτυο καλά αναπτυγμένο ως προς τον αριθμό των κλάδων που αγγίζει τα όρια του ιδανικού. Ο μέσος λόγος διακλάδωσης Řb=4,8 είναι υψηλός και οφείλεται στο σκληρό υπόβαθρο και τη μικρή μέση κλίση της λεκάνης. Δηλώνει ικανοποιητική επιφανειακή απορροή και μέτρια κατείσδυση.
Έλεγχος ως προς τον 2ο Νόμο του Horton
(Νόμος του μήκους των κλάδων)
Σύμφωνα με αυτόν: Ο λόγος του μέσου μήκους (Lu+1) των κλάδων ορισμένης τάξης (u+1) προς το μέσο μήκος των κλάδων της αμέσως μικρότερης τάξης (u) αποτελεί τον συντελεστή μήκους (RL).
Έτσι: RL = Lu+1/Lu
Όπου το μέσο μήκος (Lu) κλάδων τάξης (u) είναι ίσο με το πηλίκο του συνολικού μήκους των κλάδων της τάξης (u) διά του αριθμού των κλάδων της τάξης (Nu).
Ο συντελεστής μήκους δεν είναι ακριβώς ίδιος από τη μία τάξη στην άλλη, αλλά τείνει να καταστεί σταθερός στο σύνολο των σειρών του δικτύου.
Το μήκος των κλάδων κάθε τάξης δίδεται από τη σχέση: Lu = RLu - o
όπου «o» η τάξη του κύριου κλάδου. Στην περίπτωσή μας ο = 4 .
Ο νόμος εφαρμόστηκε με δύο τρόπους. Αρχικά χρησιμοποιώντας τα καθαρά μήκη των κλάδων και στη συνέχεια τα αθροιστικά μήκη ανά τάξη.
Τα αριθμητικά αποτελέσματα παρουσιάζονται στους Πίνακες που ακολουθούν.

Από την ανάλυση του μήκους των κλάδων του δικτύου παρατηρούνται αποκλίσεις των μέσων πραγματικών τιμών από τις ιδανικές πρωτίστως στους κλάδους 2ης τάξης και δευτερευόντως στον κύριο κλάδο (4η τάξη).
Καθώς οι πραγματικές τιμές υπολείπονται των ιδανικών συμπεραίνουμε πως οι κλάδοι δεν αναπτύσσονται και τόσο ικανοποιητικά. Αυτό σημαίνει ότι το υδρογραφικό δίκτυο στο παρελθόν δεν είχε φθάσει σε στάδιο ομαλής αποστράγγισης ώστε να επιτρέψει την επαρκή αύξηση του μήκους όλων των κλάδων και τούτο διότι το «παλαιό» καθεστώς διάβρωσης διαταράχθηκε από τη νεοτεκτονική δράση.
Επίσης σε πλημμυρικές βροχές η αποστράγγιση δε γίνεται φυσιολογικά καθώς από αγωγούς μικρότερης τάξης και μεγαλύτερου μήκος το νερό περνάει σε αγωγούς μικρότερου μήκους από το ιδανικό.

Αντίθετα η ακολουθία των μέσων αθροιστικών μηκών δείχνει ομαλή. Το αποτέλεσμα είναι συνεπές του σταδίου διάβρωσης της λεκάνης απορροής (μεταξύ πρώιμου και μέσου σταδίου ωριμότητας βλ. προηγούμενα). Αυτό σημαίνει πως το δίκτυο δεν απέχει πολύ από το να ομαλοποιηθεί ως προς τα μήκη των κλάδων αλλά ο ρυθμός εξέλιξης θα καθορίζεται από τους παράγοντες που θα ελέγχουν τον κύκλο διάβρωσης.
Για την περαιτέρω διερεύνηση των χαρακτηριστικών της λεκάνης και του δικτύου απορροής εκτιμήθηκαν:
Η Υδρογραφική Συχνότητα (F) (Stream frequency). Ορίζεται ως ο λόγος του συνολικού αριθμού των κλάδων όλων των τάξεων μιας λεκάνης (Ν) προς το εμβαδόν της λεκάνης αυτής (Α) (Horton, 1945).
Στην περίπτωσή μας: F= Ν/Α → F= 141/12,8 Km2 → F= 11 Km-2
Η Υδρογραφική Πυκνότητα (D) (Drainage Density). Είναι ο λόγος του συνολικού μήκους των κλαδών όλων των τάξεων μιας λεκάνης απορροής (L)προς το εμβαδόν της λεκάνης αυτής (Α) (Horton, 1945).
Ο δείκτης συγκρίνει την σχετική διαβρωτική δράση ή αλλιώς την ικανότητα διαβρωτικής δράσης των κοιτών των ποταμών μεταξύ των λεκανών απορροής.
Πρόκειται για ένα ποσοτικό δείκτη ευαίσθητο στη μεταβολή των τιμών βροχόπτωσης, λιθολογικής σύστασης και γεωλογικής δομής, βλάστησης και εδαφικού μανδύα μέσα σε μια λεκάνη απορροής.
Στην περίπτωσή μας: D= L/Α → D= 51,35 Km/12,8 Km2 → D= 4,01 Km-1
Η τιμή είναι απόλυτα συμβατή με αυτή της Συχνότητας (F) καθώς οι δύο πληρούν τη σχέση του Melton (1958): F= 0,694·D2
Επειδή η τιμή αλλάζει ανάλογα με τη μονάδα μέτρησης, για να είναι συγκρίσιμη με τις τιμές κατά Horton και Strahler θα πρέπει να μετατραπεί στο αντίστοιχο σύστημα μονάδων. Στην περίπτωση αυτή ισούται με 6,45 mi-1
Κατά τον Strahler (1968, p.904): “Γενικά, η χαμηλή πυκνότητα αποστράγγισης ευνοείται σε περιοχές με ιδιαίτερα ανθεκτικά ή εξαιρετικά διαπερατά υλικά υπεδάφους, κάτω από πυκνή φυτική κάλυψη και όπου το ανάγλυφο είναι χαμηλό. Η υψηλή πυκνότητα αποστράγγισης ευνοείται σε περιοχές με ασθενή ή αδιαπέραστα υπoεπιφανειακά υλικά, αραιή βλάστηση και ορεινό ανάγλυφο.”
Στην υπό μελέτη λεκάνη η σχετικά χαμηλή τιμή της υδρογραφικής πυκνότητας αποδίδεται στο χαμηλό ανάγλυφο, στους υψηλούς μηχανικούς δείκτες του κρυσταλλοσχιστώδους υποβάθρου με συνέπεια την αντίστασή του στη διάβρωση και στην πυκνή βλάστηση, που εκπροσωπείται από φυλλοβόλα δένδρα, μακκία βλάστηση και ελαιώνες που δεν υπόκεινται σε άροση.
Το Μήκος Χερσαίας Ροής (Lg) (Length of Overland Flow). Ο Horton (1945) χρησιμοποίησε αυτόν τον όρο για να αναφερθεί στο μήκος που διατρέχει το νερό της βροχής στην επιφάνεια του εδάφους πριν καταλήξει στους επιφανειακούς αγωγούς. Κατά μέσο όρο, είναι περίπου το μισό της απόστασης μεταξύ των ρευμάτων του χειμάρρου και ο Horton, για λόγους ευκολίας, το θεώρησε περίπου ίσο με το μισό του αντιστρόφου της Υδρογραφικής Πυκνότητας (D). Για την υπό μελέτη λεκάνη έχουμε:
Lg = 1/(2·D) → Lg = 1/(2·4 Km-1 ) → Lg = 0,125Km ή 125m
Από το αποτέλεσμα φαίνεται πως το νερό διατρέχει μικρή απόσταση μέχρι να συναντήσει τους επιφανειακούς αγωγούς και εμπόδιο στην ταχύτητά του αποτελεί η βλάστηση. Έτσι σε φυσιολογικές συνθήκες βροχόπτωσης δεν ευνοείται ιδιαίτερα η διάβρωση του εδάφους.
Όμως σε κατάσταση πλημμύρας το νερό φθάνει γρήγορα στους επιφανειακούς αγωγούς. Λόγω της μικρής κλίσης αυτών η απορροή καθυστερεί και έτσι συγκεντρώνεται εντός της λεκάνης μεγάλος όγκος νερού πού με τη σειρά του οδηγείται στον κύριο αγωγό. Στην κατάσταση πλέον αυτή η λεκάνη είναι ευαίσθητη σε χαραδρωτική διάβρωση και κατολισθήσεις.
Ο Δείκτης Τραχύτητας (Rn) (Ruggedness number). Ο Δείκτης Τραχύτητας κατά Strahler (1968) είναι παράγωγο του Μεγίστου Αναγλύφου Hb της λεκάνης και της Υδρογραφικής Πυκνότητας (D) εκφρασμένα στις ίδιες μονάδες και καθώς συνδυάζει επιτυχώς την κλίση πρανών με το μήκος τους αποτελεί ένα μέτρο της ανομοιομορφίας της επιφάνειας. Για την υπό μελέτη λεκάνη έχουμε:
Rn = D · (Hb/1000) → Rn = 4 Km-1 · (694m/1000) → Rn = 2,78
Η χαμηλή τιμή τραχύτητας υποδηλώνει ότι η περιοχή σε γενικές γραμμές δεν είναι επιρρεπής σε διάβρωση του εδάφους.
H Ένταση Απορροής (Di) (Drainage Intensity). Ο Faniran (1968) την ορίζει ως το λόγο της Υδρογραφικής Συχνότητας (F) προς την Υδρογραφική Πυκνότητα (D).
Για την υπό μελέτη λεκάνη έχουμε:
Di = F/D → Di = 11 Km-2 / 4 Km-1 → Di = 2,75 Km-1
Αυτή η σχετικά χαμηλή τιμή της Έντασης Απορροής υποδηλώνει ότι η Υδρογραφική Πυκνότητα και Συχνότητα έχουν μικρή συμμετοχή (αν υπάρχει) στην επιφανειακή απογύμνωση (επιφανειακή διάβρωση-αποκομιδή). Η επιφανειακή απορροή δεν απομακρύνεται γρήγορα από τη λεκάνη, γεγονός που την καθιστά ευαίσθητη σε πλημμύρες, χαραδρωτική διάβρωση και κατολισθήσεις (Baiju et al, 2015; Dayal Vishnu & Sarup Jyoti, 2015; Tribhuvan & Sonar, 2016; Gupta Anjali & Punwatkar, 2017).
Ο Δείκτης Κατείσδυσης (If) (Infiltration Number). Ορίζεται (Faniran, 1968) ως το γινόμενο της Υδρογραφικής Πυκνότητας (D) επί τη Συχνότητα (F) και δίδει μια ιδέα σχετικά με τα χαρακτηριστικά της κατείσδυσης εντός της λεκάνης απορροής. Για την υπό μελέτη λεκάνη έχουμε:
If = D · F → If = 4 · 11 → If = 44
Η σχετικά υψηλή τιμή (44) δείχνει μέτρια την κατείσδυση και μάλλον υψηλότερη την απορροή εντός της λεκάνης σε φυσιολογικές συνθήκες πόσο μάλλον σε κατάσταση πλημμύρας.
Για την εκτίμηση της μέσης ετήσιας απορροής και κατ’ επέκταση της στερεοπαροχής απαιτείται η γνώση κάποιων βασικών κλιματικών στοιχείων της λεκάνης απορροής.
2.5 Κλιματικά χαρακτηριστικά της λεκάνης απορροής
Για τη σχεδίαση του ομβροθερμικού διαγράμματος και επειδή δεν υπάρχει μετεωρολογικός σταθμός εντός της λεκάνης απορροής, αντλήσαμε τα δεδομένα από χάρτες.
Πιο συγκεκριμένα από χάρτες των Γκουβά Μ.- Σακελλαρίου Ν. (2011) και αυτούς που οι ίδιοι παραθέτουν στο διαδίκτυο: https://drive.google.com/drive/folders/1BVHxjWcQZxf5fTuiINzERon_WUkcsir9
(βλ. επίσης Ε.Μ.Υ. «Κλιματικός Άτλαντας της Ελλάδας. 1971-2000» αλλά είναι δύσχρηστος καθώς δεν είναι σχεδιασμένες οι ισόθερμες και οι ισοϋέτιες καμπύλες και είναι δύσκολη η σύγκριση περιεχόμενου-υπομνήματος. http://climatlas.hnms.gr/sdi/ )

Μέσο Ετήσιο Ύψος Βροχής: P = 800 mm
Μέση Ετήσια Θερμοκρασία: Τ= 15,8 οC
Η ξηροθερμική περίοδος αρχίζει στα τέλη Μαΐου και τελειώνει στις αρχές Σεπτεμβρίου. Περίοδος με αυξημένο τον κίνδυνο πυρκαγιάς.
Ψυχρότερος Μήνας: Ιανουάριος,
Μέση Θερμ. ΤΙαν. = 7 οC, Μέση Ελάχιστη Τm = 4 oC
Θερμότερος Μήνας: Ιούλιος,
Μέση Θερμ. ΤΙουλ. = 25 οC, Μέση Μέγιστη ΤΜ = 30 oC
Βιοκλιματικοί δείκτες:
De Martonne (1926): DMI= 𝐏(mm)/𝟏𝟎+𝐓(oC) → DMI = 31
Η ταξινόμηση θέλει την περιοχή «Υγρή», (“Humid: 28-35”)
Emberger (1932): για θερμοκρασία εκφρασμένη σε οC έχουμε
Q2= 2000·P/( (ΤΜ + Τm + 546,3)·(ΤΜ -Τm) ) → Q2 = 106
Η ταξινόμηση θέλει την περιοχή «Ύφυγρη» με ήπιο χειμώνα (3 oC < Τm < 7 oC)
Και οι δύο δείκτες φανερώνουν συνθήκες πολύ ευνοϊκές για ανάπτυξη μακίας βλάστησης αλλά και διαφόρων ειδών πλατύφυλλων.
Κλιματική ταξινόμηση κατά Köppen–Geiger
Βασική κατηγορία:
Μέση θερμοκρασία ψυχρότερου μήνα: Τθ = 7 οC ήτοι 18 οC > Τθ > -3 οC
και
Μέση θερμοκρασία θερμότερου μήνα ΤΘ = 25 οC > 10 οC
Κατηγορία C = Εύκρατο ή Μεσόθερμο με ήπιους χειμώνες
Πρώτη υποκατηγορία:
Βροχόπτωση του ξηρότερου μήνα (Αύγουστος): rξ = 15 mm < 30 mm
και rξ = 15 < rυ / 3 = 40mm, όπου rυ = 120mm η βροχόπτωση του υγρότερου μήνα (Δεκέμβριος)
υποκατηγορία s = με ξηρό θέρος
Δεύτερη υποκατηγορία:
Μέση θερμοκρασία θερμότερου μήνα ΤΘ= 25 οC > 22 οC
υποκατηγορία a = με θερμό θέρος
Κλιματικός Τύπος: Csa, Εύκρατο με ήπιους χειμώνες, ξηρά και θερμά καλοκαίρια (το κατεξοχήν Μεσογειακό κλίμα).
2.6 Το υδρολογικό ισοζύγιο της λεκάνης
Επειδή στην περιοχή μελέτης δεν υπάρχουν σταθμοί καταγραφής της απορροής, μπορεί αυτή να υπολογιστεί με βάση το υδρολογικό ισοζύγιο.
Το υδρολογικό ισοζύγιο εκφράζεται από τη σχέση (χωρίς να λάβουμε υπόψη ενδεχόμενες πλευρικές μεταγγίσεις νερού από ή προς τη λεκάνη ή/και αντλήσεις) :
P = R + E + I → R = P - (E+I) όπου:
P: το ποσό των ατμοσφαιρικών κατακρημνισμάτων τα οποία πέφτουν ετησίως στην υδρολογική λεκάνη (βροχόπτωση).
R: το ποσό του νερού που απορρέει επιφανειακά από την εν λόγω λεκάνη ετησίως (επιφανειακή απορροή).
Ε: το ποσό του νερού που εξατμίζεται ετησίως, ως και εκείνο που χρησιμοποιείται από τα φυτά για τη διεργασία της διαπνοής τους (εξατμισοδιαπνοή).
Ι: το ποσό του νερού που κατεισδύει στα διάφορα στρώματα και τροφοδοτεί τους υπόγειους ταμιευτήρες (κατείσδυση).
Εξατμισοδιαπνοή (Ε)
Η εξατμισοδιαπνοή εξαρτάται από πλήθος παραγόντων ( Καλλέργης, 1970) πλην όμως μεγαλύτερη επίδραση ασκούν η μέση ετήσια θερμοκρασία και η υγρασία. Πολυάριθμοι εμπειρικοί τύποι έχουν δοθεί για τον υπολογισμό της πραγματικής (Ε) ή της «δυνητικής» (Εp) εξατμισοδιαπνοής πολύπλοκοι (Thornthwaite, 1948) ή και πιο απλουστευμένοι (Serra, 1954) κλπ.
Εμείς εφαρμόσαμε τη «σχέση» που προτάθηκε από τον L. Turc (1951; 1954) για τον υπολογισμός της πραγματικής εξατμισοδιαπνοής ως συνάρτηση της μέσης ετήσιας θερμοκρασίας και του μέσου ετήσιου ύψους βροχής. Από τις διάφορες κατά καιρούς προταθείσες σχέσεις αυτή πλησιάζει περισσότερο στην πραγματικότητα, εφαρμόζεται ευρύτατα για υδρολογικούς σκοπούς και έχει εφαρμοστεί σε μελέτες για τον Ελληνικό χώρο (Ενδεικτικά: Electrowatt, 1968; Καλλέργης, 1970 κλπ.)
Αυτή η Σχέση είναι:

Για την περιοχή μελέτης η εφαρμογή της παραπάνω σχέση για Ρ = 800 mm και Τ = 15,8 οC (βλ. προηγούμενα) δίνει:
L= 300 + 25Τ + 0,05Τ3

Επομένως από την συνολική ετήσια βροχόπτωση (800mm) το 77% (615mm) χάνεται λόγω της εξατμισοδιαπνοής.
Κατείσδυση (I)
Κατείσδυση είναι η διαδικασία κατά την οποία το νερό εισέρχεται στα επιφανειακά στρώματα του εδάφους και κινείται προς τα βαθύτερα.
Ο συντελεστής κατείσδυσης είναι το πηλίκο του νερού που συνολικά κατεισδύει ετησίως εντός των πετρωμάτων της λεκάνης, διά του συνολικού ποσού του νερού που δέχεται η λεκάνη στο ίδιο χρονικό διάστημα επί % ήτοι :

Μη έχοντας μετρήσεις με όργανα (λυσίμετρα) εκτιμήσαμε τον δείκτη κατείσδυσης εμπειρικά και έχοντας υπόψη (βλ. προηγούμενα) πως η κατείσδυση υπολείπεται της απορροής.
Αφαιρώντας από τη συνολική βροχόπτωση το 77% της εξατμισοδιαπνοής απομένει το 23% ως ποσοστό που αναλογεί στο άθροισμα κατείσδυσης και απορροής.
Από αυτό θεωρήσαμε πως το 10% αναλογεί στην κατείσδυση (Ι) και το 13% στην απορροή (R).
Με δεδομένο πως οι κρυσταλλικοί σχιστόλιθοι είναι υδατοστεγανοί και η όποια υδροπερατότητά τους (δευτερογενές πορώδες λόγω τεκτονικής καταπόνησης) περιορίζεται κυρίως στη ζώνη κερματισμού και αποσάθρωσης, η όποια κατείσδυση οφείλεται στους ασβεστόλιθους.
Αυτοί καταλαμβάνουν περίπου το 23% της επιφάνειας της λεκάνης. Επομένως η εκτίμηση τους θέλει να εμφανίζουν συντελεστή κατείσδυσης περίπου 45%. Η τιμή είναι αποδεκτή μεν αλλά από τις υψηλότερες που αναλογούν σε ασβεστόλιθους.
Επομένως στη συνολική κατείσδυση δώσαμε το μάλλον τη μέγιστη δυνατή τιμή.
2.7 Εκτίμηση όγκου μέσης ετήσιας απορροής
Από τα ανωτέρω προκύπτουν:
Η συνολική ετήσια απορροή αντιστοιχεί σε ισοδύναμο ύψος βροχής 104 mm (13% Χ 800 mm = 104 mm)
Ο όγκος της μέσης ετήσιας απορροής ισούται με το 13% του όγκου του νερού που ετησίως δέχεται από τα ατμοσφαιρικά κατακρημνίσματα η λεκάνη απορροής. Έτσι έχουμε:
Μέση ετήσια Βροχόπτωση: P = 800 mm → P = 0,8 m
Εμβαδό λεκάνης: A = 12,8 Km2 → A = 12.800.000 m2
Μέσος ετήσιος όγκος νερού από βροχόπτωση: VP = P·A → VP = 10.240.000 m3
Όγκος μέσης ετήσιας απορροής: VR = VP ·13% → VR = 1.331.200 m3 ή VR = 1,33·106 m3
Συμπερασματικά: Η μέση ετήσια απορροή είναι γενικά μικρή και επομένως ανάλογα μικρή αναμένεται και η ετήσια στερεοαπορροή, αφού το μέσο μεταφοράς των ιζημάτων είναι το απορρέον νερό.
Από υδρολογική οπτική οι φερτές ύλες που μετακινούνται σ’ ένα υδατόρευμα εξετάζονται σαν προϊόντα της διάβρωσης, που προκαλεί η κίνηση του νερού. Το φορτίο που μεταφέρεται διαφέρει πολύ από υδατόρευμα σε υδατόρευμα. Επηρεάζεται από τον όγκο της βροχής, τις διαφορές στα είδη των πετρωμάτων, την ικανότητα διήθησης του εδάφους, τη φυτοκάλυψη και την αλληλεπίδραση μεταξύ αυτών. Η φυτοκάλυψη της γης αναχαιτίζει την παραγωγή των φερτών υλικών.
Ο ρυθμός διάβρωσης του εδάφους είναι σημαντικά μεγαλύτερος από το ρυθμό μεταφοράς υλικών από το ποτάμι στα κατάντη του, γιατί υπάρχουν πολλές ενδιάμεσες ζώνες όπου τα φερτά υλικά αποτίθενται ή αποθηκεύονται. Διαβρωμένο υλικό αφήνεται σε μεγάλες εκτάσεις των πλημμυροπεδιάδων και στους πρόποδες των λόφων, έτσι οι ποταμοί δεν μεταφέρουν στη θάλασσα τίποτε περισσότερο από ένα μικρό τμήμα του υλικού που διαβρώνεται ετησίως από την επιφάνεια της λεκάνης απορροής.
Το γεγονός αυτό επηρεάζει το ρυθμό διάβρωσης των λεκανών απορροής με αποτέλεσμα αυτός να αλλάζει με την πάροδο του χρόνου.
Για αρκετό αρχικό χρονικό διάστημα και χωρίς σημαντικές περιβαλλοντικές αλλαγές ή ανθρωπογενείς παρεμβάσεις, το μέγεθος και η χρονική εξάπλωση επαναλαμβανόμενων κύκλων διάβρωσης, αρχίζουν να μειώνονται, καταλήγοντας έτσι σε μία περισσότερο ή λιγότερο μόνιμη κατάσταση ισορροπίας.
Για την ποσοτική περιγραφή του φαινομένου της διάβρωσης χρησιμοποιούνται όροι όπως: εδαφική απώλεια , στερεοαπορροή ή ποσότητα φερτών, συντελεστής στερεοαπορροής, στερεοπαροχή κλπ.
Η εκτίμηση της ποσότητας φερτών υλικών από υδατορεύματα, μπορεί να γίνει είτε με άμεσες μετρήσεις στερεοπαροχής, εφόσον έχουν εκτελεσθεί τέτοιες σε συγκεκριμένη θέση του υπό μελέτη υδατορεύματος, είτε με εμπειρικές στατιστικές σχέσεις, βασισμένες σε μετρήσεις στερεοπαροχής σε άλλες θέσεις, στην ίδια λεκάνη απορροής, ή σε άλλη κοντινή λεκάνη με παραπλήσιες φυσικές συνθήκες (Flaxman,1972; Kirkby and Morgan (ed),1980; Κουτσογιάννης - Τάρλα,1987; κλπ.).
Στην περίπτωση λοιπόν που δεν διατίθενται στοιχεία από μετρήσεις, γίνεται χρήση υπολογιστικών μεθόδων και αυτό ακριβώς κάναμε, καθώς για την υπό μελέτη λεκάνη απορροής τέτοια στοιχεία δεν διατίθενται και το κάναμε με δύο τρόπους.
1ος Τρόπος:
Η εκτίμηση της στερεοαπορροής έγινε με βάση την Παγκόσμια Εξίσωση Εδαφικής Απώλειας (USLE) και του Συντελεστή Στερεοαπορροής (SDR).
Το μέγεθος της αναμενόμενης εδαφικής απώλειας εκφράζεται από τη σχέση :
Αs = R · K · LS · C · P όπου :
Αs : μέση ετήσια επιφανειακή διάβρωση σε t/ha.
R : συντελεστής διαβρωσιμότητας λόγω βροχής. Για την εκτίμηση του εφαρμόστηκε η εμπειρική σχέση: R = 0,083 × P – 1,77 (Schwertmann et al., 1990; Στάθης- Σαπουντζής, 2002; Μυρωνίδης, 2012) όπου P είναι το μέσο ετήσιο ύψος βροχής σε mm. Ήτοι R = 0,083 × 800 – 1,77 → R = 64,6
Κ : συντελεστής διαβρωσιμότητας των επιφανειακών γεωλογικών σχηματισμών της λεκάνης από το νερό. Επειδή οι σχηματισμοί αυτοί είναι: κρυσταλλικοί σχιστόλιθοι και ασβεστόλιθοι (93% της έκτασης) και τεταρτογενείς + νεογενείς σχηματισμοί (7%) δώσαμε στο συντελεστή την τιμή K = 0,16 (Κουτσογιάννης - Τάρλα,1987)
LS : συντελεστής αναγλύφου ο οποίος αφορά την τοπογραφία της περιοχής. LS = 3,8 (τιμή για την περιοχή βάση βιβλιογραφίας, Μυρωνίδης, 2012)
C : συντελεστής φυτοκάλυψης δεδομένου ότι η βλάστηση περιορίζει τη διάβρωση του εδάφους μειώνοντας την κινητική ενέργεια των σταγόνων της βροχής. C = 0,03 (τιμή που αναλογεί σε σκληροφυλλική βλάστηση και μεταβατικές δασώδεις-θαμνώδεις εκτάσεις, Λυκούδη & Ζαρρής, 2001; Ξανθάκης, 2011; Μυρωνίδης, 2012 κλπ.)
P : συντελεστής ελέγχου της διάβρωσης λόγω ανθρώπινων πρακτικών και παρεμβάσεων (π.χ. φράγματα, συρματοκιβώτια, ράμπες ανάσχεσης, αναβαθμίδες, έλλειψη άροσης κλπ.). Καθώς εντός της λεκάνης δεν λαμβάνονται μέτρα προστασίας από τη διάβρωση: P = 1
Αντικαθιστώντας έχουμε : Αs = 64,6·0,16·3,8· 0,03·1 t/ha → Αs = 1,18 t/ha και μετατρέποντας το αποτέλεσμα σε t/Km2 (πολλαπλασιάζοντας επί 100):
Έχουμε: Αs = 118 t/Km2
Ο Συντελεστή Στερεοαπορροής (SDR) υπολογίστηκε με την εξίσωση Renfro (1972, pp.37) όπως τροποποιήθηκε (βλ. Zarris et al., 2011; Efthimiou et al., 2017).
Log SDR = 1,7935 - 0,1419·Log A όπου A το εμβαδό της λεκάνης απορροής εκφρασμένο σε Km2.
Στην περίπτωσή μας A = 12,8 Km2
Log SDR = 1,7935 - 0,1419·Log (12,8)
SDR = 21,4 %
Για τη στερεοαπορροή Sy έχουμε :
Sy = Αs·SDR → Sy = 118 t/Km2 · 21,4 % → Sy= 25,3 t/Km2
2ος Τρόπος:
Η εκτίμηση της στερεοαπορροής έγινε με βάση την εξίσωση που προτάθηκε από τους Κουτσογιάννη Δ. και Ταρλά Κ. (1987).
G= 15·γ·e3P
όπου: G = στερεοαπορροή
γ = γεωλογικός συντελεστής = Κ= 0,16 (βλ. προηγούμενα)
Ρ = μέσο ετήσιο ύψος βροχής σε (m) = 0,8 m
Αντικαθιστώντας έχουμε: G = 15·0,16·e3·0,8 → G = 15·0,16·e2,4 → G = 26,46 t/Km2
Παρατηρούμε πως οι δύο τιμές Sy = 25,3 t/Km2 και G = 26,46 t/Km2 διαφέρουν μόλις 4% (ήτοι εντός των ορίων του στατιστικού σφάλματος). Έτσι ως τιμή στερεοαπορροής θα θεωρήσουμε τη μέση τιμή των δύο και με στρογγυλοποίηση στον πλησιέστερο ακέραιο έχουμε:
Sy= 26 t/Km2
H μέση ετήσια μάζα των φερτών σε αιώρηση υλικών (mφ) ισούται με το γινόμενο της μέσης ετήσιας στερεοαπορροής (Sy επί το εμβαδό της λεκάνης απορροής A).
mφ= Sy·A → mφ= 26 t/Km2·12,8 Km2 → mφ= 332,8 t ή 332.800 Kg
Στην ποσότητα φερτών σε αιώρηση υλικών mφ πρέπει να προστεθεί ποσότητα διαλυμένου υλικού σε ποσοστό 15% και ποσότητα υλικού σε σύρση 10% (UNESCO, 1985; Πούλος, 1997) (συνολικά 25%)
Έτσι έχουμε μάζα φερτού υλικού ετησίως :
Mφ= mφ + (mφ · 25%) → Mφ= 332.800 Kg + (332.800 Kg·25%) →
Mφ= 332.800 Kg + 83.200 Kg → Mφ = 416.000 Kg
Ο υπολογισμός του μέσου ετήσιου όγκου των φερτών υλικών (Vφ) γίνεται μέσω της σχέσης μάζας (Mφ) και πυκνότητας (ρ) αυτών. Ήτοι: Vφ = Mφ / ρ
Η μέση πυκνότητα φερτών υλικών ή αποθέσεων σε ταμιευτήρες μετρήθηκε (Ζαρρής, 2008), ή εκτιμήθηκε (Αργυρόπουλος, 1959; Κωτούλας, 1980; Σαπουντζής et al., 2009; Ξανθάκης et al., 2010) από 1518 ως 1750 Kg/m3 . Βάση αυτών επιλέχθηκε τιμή πυκνότητας ρ = 1750 Kg/m3.
Επομένως έχουμε μέσο όγκο φερτών υλικών ετησίως:
Vφ = 416.000 Kg / 1750 Kg/m3 → Vφ = 238 m3
Αυτός ήταν ο όγκος του φερτού υλικού (ή το μεγαλύτερο μέρος αυτού) που κατέληγε ετησίως στην ακτή και ενάντια στη διαβρωτική δράση των κυμάτων συντηρούσε τη γεωμετρία της ως το 2007.
2.9. Απαντήσεις σε ερωτήματα που παραμένουν
Αποκλείοντας την περίπτωση κάποιου σημαντικού γεωτεκτονικού επεισοδίου που θα είχε συνέπεια την ανύψωση του επιπέδου βάσης της διάβρωσης (ένα τέτοιο γεγονός θα διατηρούσε σταθερό το νέο καθεστώς διάβρωσης σε ένταση για πολλά χρόνια), απομένουν να εξετασθούν η περίπτωση αύξησης των βροχοπτώσεων αρχικά και μείωσής τους μετά το 2013 ή μεταβολές εντός της λεκάνης απορροής από ανθρώπινες παρεμβάσεις ή πυρκαγιά.
Για την περίπτωση αυξομείωσης των βροχοπτώσεων εξετάσαμε δεδομένα από τους πλησιέστερους σταθμούς. Ζαγοράς και Σκιάθου και αποκλείσαμε το σταθμό Μακρινίτσας καθώς παρουσιάζει σημαντική έλλειψη καταγραφών (πηγή: meteo.gr).

Ο σταθμός της Ζαγοράς άρχισε να λειτουργεί από τον Μάιο του 2009 έτσι συμπληρώσαμε τις τιμές των προηγούμενων μηνών με την αντίστοιχη μέση μηνιαία τιμή βάση των υπολοίπων ετών, ώστε να «κλείσει» ο πίνακας.
Παρατηρούμε πως σε ετήσια βάση εμφανίζονται πιο βροχερά τα έτη μετά το 2016 με εξαίρεση το 2021. Επίσης σε μηνιαία βάση οι βροχεροί μήνες εμφανίζονται με μεγαλύτερες θετικές αποκλίσεις επίσης μετά το 2016 με εξαίρεση το 2011.
Ο σταθμός της Σκιάθου άρχισε να λειτουργεί από τον Ιανουάριο του 2011.

Παρατηρούμε ανάλογη «εικόνα» με αυτή του σταθμού Ζαγοράς.
Σε ετήσια βάση εμφανίζονται πιο βροχερά τα έτη μετά το 2016 με εξαίρεση το 2015. Επίσης σε μηνιαία βάση οι βροχεροί μήνες εμφανίζονται με μεγαλύτερες θετικές αποκλίσεις κυρίως μετά το 2016.
Τα στοιχεία δεν «υποδεικνύουν» τις βροχοπτώσεις ως τη βασική αιτία για τις αυξημένες ποσότητες φερτού υλικού που άλλαξαν τη μορφολογία της ακτής μετά το 2007 και ως το 2015. Αφού οι βροχοπτώσεις μετά το 2015 ήταν υψηλότερες έπρεπε να συνεχίζεται η εποικοδόμηση της ακτής.
Όμως μας οδηγούν να εικάσουμε πως λόγω υψηλών βροχοπτώσεων η ένταση της διάβρωσης διατηρήθηκε σε υψηλό επίπεδο και μετά το 2015 και τροφοδοτούσε με φερτό υλικό την ακτή συντηρώντας έτσι τη «γεωμετρία» της παραλίας που είχε διαμορφωθεί πριν το 2015.
Μια τέτοια υπόθεση είναι άραγε σωστή;
Στοιχεία και υποθέσεις μας ανάγκασαν να αναζητήσουμε ενδεχόμενες «σημαντικές μεταβολές» εντός της λεκάνης απορροής.
Η αναζήτησή μας βασίστηκε σε δορυφορικές εικόνες και χρήση του «δείκτη βλάστησης» (NDVI) με πηγή προέλευσης τον Sentinel EO Browser και δορυφόρο τον Landsat 4-5. Έγινε διαχρονικά με έναρξη το έτος 1984.
Η πρώτη χρονικά «σημαντική μεταβολή» που παρατηρήσαμε ήταν η έναρξη λατομικών εργασιών και η εξελικτική πορεία του λατομείου με την πάροδο του χρόνου.
Διαδοχικές εικόνες από Ιούλιο 1984 έως Ιούλιο 2007:






Επομένως ήταν η πυρκαγιά που πυροδότησε το φαινόμενο της επιταχυνόμενης διάβρωσης εντός της λεκάνης απορροής.
Ας αναλογιστούμε πως στην Παγκόσμια Εξίσωση Εδαφικής Απώλειας (USLE) που χρησιμοποιήσαμε στα προηγούμενα για την εκτίμηση του μέσου ετήσιου όγκου φερτού υλικού, ο συντελεστής φυτοκάλυψης για περιοχές με «σκληροφυλλική βλάστηση» (ως η περιοχή μελέτης πριν την πυρκαγιά) είναι C= 0,03 και για «αποτεφρωμένες εκτάσεις» (ως η περιοχή μελέτης μετά την πυρκαγιά) είναι C= 0,55.
Με άλλα λόγια αν διατηρήσουμε σταθερή τη βροχόπτωση ο όγκος του φερτού υλικού μπορεί να μεγαλώσει ως 18 φορές.
Στα επόμενα χρόνια η βλάστησε άρχισε να αναπτύσσεται.
Αρχικά η περιοχή μεταβλήθηκε σε έκταση «αραιής βλάστης» (C= 0,45), σε «φυσικό βοσκότοπο» (C= 0,3, δηλώνει ως και 10 φορές μεγαλύτερο όγκο φερτών υλικών έναντι αυτών πριν την πυρκαγιά) και απαιτήθηκε αρκετός χρόνος ώστε η ανάπτυξη της βλάστησης να ανακόψει το ρυθμό της επιταχυνόμενης διάβρωσης.
Στο διάστημα αυτό ένα μέρος του αυξημένου πλέον όγκου φερτών υλικών κατέληγε στην ακτή και την εποικοδομούσε. Το υπόλοιπο δημιουργούσε χερσαίες αποθέσεις εντός της κοίτης του χειμάρρου (κοντά στην έξοδό του προς τη θάλασσα), αφού η απορροή δεν ήταν επαρκής ώστε να το μεταφέρει εξ ολοκλήρου στη θάλασσα.
Ας επιστρέψουμε στις δορυφορικές εικόνες.












Όλα τα παραπάνω μας οδηγούν στο συμπέρασμα πως το φαινόμενο της επιταχυνόμενης διάβρωσης, που πυροδοτήθηκε μετά την πυρκαγιά του 2007, σταδιακά ανακόπηκε χάρη στην αναγέννηση και ανάπτυξη της βλάστησης.
Από το 2013 ως το αργότερο το 2015 το καθεστώς διάβρωσης πρέπει να θεωρηθεί πως επανήλθε σε αυτό πριν την πυρκαγιά.
Η υπόθεση πως η ένταση της διάβρωσης διατηρήθηκε υψηλή και μετά το 2015 λόγω αύξησης των βροχοπτώσεων και πως χάρη σ’ αυτή συντηρούνταν η γεωμετρία της παραλίας όπως είχε διαμορφωθεί ως τότε (ενώ σε αντίθετη περίπτωση θα είχε διαβρωθεί από την κυματική δράση και θα είχε επανέλθει στις διαστάσεις της πριν την πυρκαγιά), πρέπει να απορριφθεί.
Τούτο διότι με μια προσεκτική ματιά στις δορυφορικές εικόνες… παρατηρούμε πως όχι μόνο δεν επικάθισε νέο φερτό υλικό πάνω στο υπάρχον αλλά και πως άρχισε να φύεται και να αναπτύσσεται βλάστηση επάνω του.
Οι ίδιες «εικόνες» μας φανερώνουν πως το ίζημα που συνέχισε να συντηρεί το σχήμα της παραλίας προέρχονταν από το φερτό υλικό που ως το 2013 (ίσως και λόγο αργότερα) είχε επικαθήσει στην ακτή.
Ο μηχανισμός μεταφοράς και απόθεσης ήταν ίδιος με αυτόν που εποικοδόμησε την παραλία (βλ. προηγούμενα)
Η διάβρωση του παράκτιου φερτού υλικού από τα κύματα.
Επομένως το υλικό που συντηρούσε τη γεωμετρία της ακτής ως το 2023, όπως αυτή είχε διαμορφωθεί το 2013, προέρχονταν από τα χερσαία ιζήματα που είχαν επικαθήσει στην εναέρια ακτή και άγγιζαν την ίσαλο γραμμή. Τη μεταφορά έκανε ο πλάγιος προς την ακτή κυματισμός. Η βροχόπτωση βοηθούσε διαβρώνοντας υλικό κυρίως από αυτό της εναέριας ακτής και μεταφέροντάς το στην υποθαλάσσια ακτή.
Σημάδια αυτής της δράσης είναι εμφανή στις δορυφορικές εικόνες (σημάδια αυλακοειδούς διάβρωσης).
